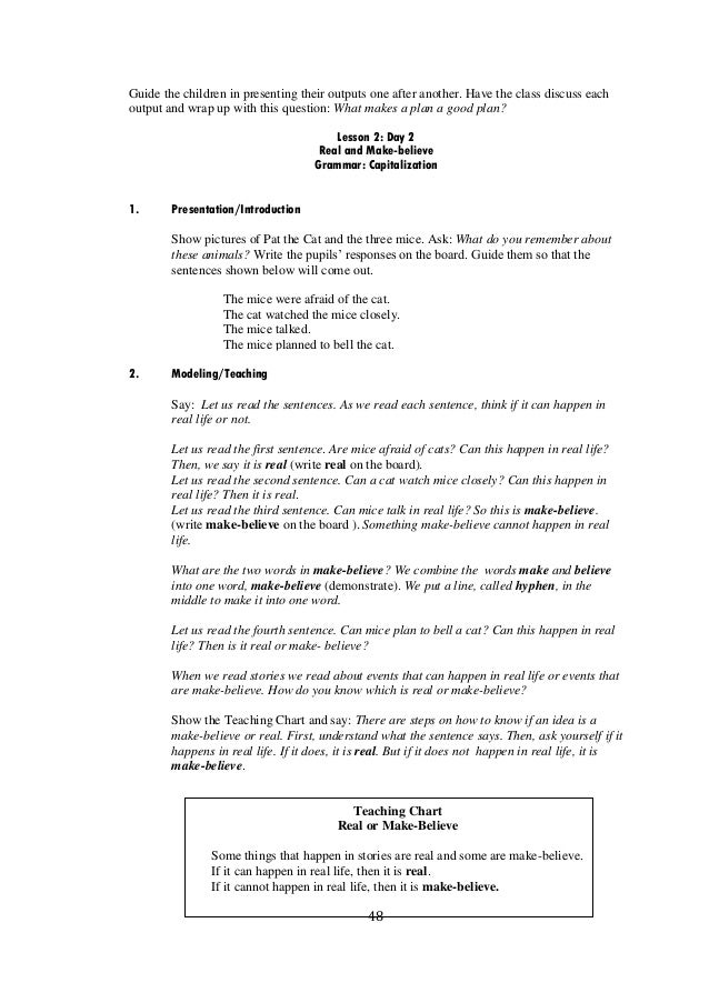
Make Believe Animal Sentence
Tina's World - Real vs Make-Believe (Game.
Make believe animal sentence. Make-believe definition, pretense, especially of an innocent or playful kind;. 19 But suddenly one day, right in the middle of a make-believe adventure, she stopped, quite chilled with fright. Zoo is a short name for Zoological Garden or Zoological park.
Kindergarten and First Grade. Play to Teach Children the Difference. This idiom means going after something that you are not likely to get, or a pursuit that is a waste of time because it is unlikely to succeed.
Later, in 1972, the sentence was used by William J. How to use animal in a sentence. 12) How is the windmill destroyed?.
~Gordon should revise sentence 2 to describe his dreams more clearly and explain what he hopes to accomplish one day. See more ideas about Fantasy creatures, Fantasy art dolls, Cute fantasy creatures. - quote by on YourDictionary.
Wild World Hourly Music 1 AM - 12 AM - Duration:. Look at the model animal rights essay below. Then, decide what the animal is doing.
But the 42-year-old Cruise shrugs it off as just another make-believe soul that grabbed him.:. …that animals might differ in intelligence, with those more closely related to humans sharing more of their intellectual abilities, is commonly traced back to Charles Darwin. It comes from the fact that it is very hard to catch a wild goose, so if you try to chase one, you are not likely to get it!.
Fact or Make Believe?. We’ll look at over 30 adjective examples in sentences, and discover how they are used in different ways in the English language. This city is often described as one of dreams and fantasy, of tinselish make-believe.:.
The animals celebrate their victory in what they call “The Battle of the Cowshed.” The animals agree to let the pigs make all the resolutions. Which sentence should Gordon revise to make it more precise, and why?. Look at each picture of the animals.
If you have a bowl of really hot soup, can you actually blow fire?. What would happen if the Russian Revolution of 1917 took place on a small English farm?. The Haida believe they exist to serve nature, while the Maori believe they must live in harmony.
Animal Farm.Here are a few quotes from this famous work. Animals on other farms have begun lashing out against their human masters and singing the revolutionary song “Beasts of England.” Jones and other farmers try to recapture Animal Farm but fail. He turned his hand in to the shape of a gun and he pulled the make-believe trigger towards my head.
Imaginative intellectual play 2. This provocative novella blends fable, satire, and allegory while grappling with some of the twentieth-century's most consequential political ideas. Many animal welfare groups, campaigners and activists believe that fox hunting is unfair and cruel to animals.
Lowing is the official name of a cow. While some animal welfare theories suggest that humans can use animals for consumption or entertainment as long as they’re treated humanely, there are many people who support the humane treatment of animals even though they don’t believe animals should be used by humans. 🔊 Kristen’s make-believe friend was named Barney while her sister’s imaginary pal was a furry monster called Ed.
Scientists say there are about a dozen distinct vocalizations the animal can make. See the dictionary meaning, pronunciation, and sentence examples. The enactment of a pretense.
Other articles where Animal intelligence is discussed:. In the novel, the overworked and mistreated animals on a farm all begin to follow the precepts of Animalism, rise up against the humans, take over the farm, and rename the place:. Help your child understand the difference between reality and make believe in this reading comprehension worksheet.
Now let’s make this clear. Imagined as in a play. Here’s a sample of an exciting hyena at feeding time:.
Sufficient to say that I regard the play as pure make-believe. You’ll find that many of these idioms have little meaning or relation to the animals themselves. 100 Downloads Grade 1, 3 Matching Lists Images.
People around the world keep many pet animals like dogs, cats, fishes, horses, turtles, elephants etc. George Orwell's influential, allegorical novel Animal Farm was published in 1945. Or maybe some sort of animal.
Basic Definition of Adjectives. Five sentences on lion 2 See answers abhijayrocks. Keeping a pet animal dates back in history for thousands of years.
This will assist in avoiding confusion of the animals. Write a complete sentence to describe the animal. Make-believe definition is - a pretending that what is not real is real.
Using this Animal Sentence Worksheet, students describe pictures of animals using complete sentences and key vocabulary. The use of expression vectors that target the production of rc-proteins in the…. She can also be a fun, kooky aunt.
"Buffalo buffalo Buffalo buffalo buffalo buffalo Buffalo buffalo" is a sentence that uses correct grammar. Cut and Paste Sentences. Native animal populations have been very badly affected, with the extinction of at least 10 species attributed to the spread of foxes.
And together they make one animal which we call man;. 21 As boys grow older, they readily turn to wrestling and combative play using make-believe weapons of war and violence. 37,243 Downloads Grade 3 Underline Prepositions in the Paragraph.
Explain why the scenario is real or make believe. In these NO PREP cut and paste sentences for kindergarten worksheets, students will practice a variety of skills like scissor skills, building sentences, writing sentences, reading sentences, and demonstrating reading comprehension too!. More Preposition Games.
It is very interesting to read about someone's pet. Here are some tricks you can do to make crazy sounding sentences that are still grammatical. First and foremost, animal experiments are unkind and cause animals a lot of pain.
Example sentences with the word animal. 17,600 Downloads Grade 3 Use Prepositions to Complete the Sentence. On the other hand, others feel that there are good arguments against this.
She didn't believe he was an animal. A PowerPoint that shows things that are real and things that are make-believe. A vocabulary list featuring "Animal Farm" by George Orwell, Chapters 5-6.
An adjective is a word that modifies a noun. This generator also provides a list of the animals chosen without any limit on the animals chosen. This comprehension teaching resource is aimed at teaching students the difference between real and make-believe.
One way to organize an essay like this is to consider both opinions, then give your opinion in a final paragraph (see model essay 4) or dedicate a whole final paragraph to your opinion (see model essay 5).Another way to write an essay like this is to also make one of the 'for' or 'against' opinions your opinion as well. Present a scenario that is either real or make believe. 11) Why does Napoleon blame Snowball for everything that goes wrong on the farm?.
The strong animal rights view is up from 08 when 25% thought animals' rights should be on par with humans'. Fact vs Opinion, Language Arts Index. This is because the acceptance of Darwin’s theory of evolution was at the expense of the ideas of the French philosopher.
It is often used as an example of how homonyms and homophones can be used to create confusing, hard-to-understand sentences. Make believe is defined a. A zoo is a good source of entertainment for an urban family.
This sentence was all too obvious for the animals, but complete and utter bulls*** for the readers. 13) Why does Napoleon change the Seven Commandments?. Lions shout is know as roar.
25 Amazing Animal Idioms in English. A pet animal is the best companion and source of pleasure. 10) Why do the animals confess to being traitors?.
You use make-believe to refer to the activity involved when a child plays a game in which they pretend something, for example. Remember, idioms often don’t have literal meanings at all—they only have figurative meanings. Man is a make believe animal he is never so truly himself as when he is acting a part.
The make-believe of children playing. Lions are social animals and lives in groups called prides. It has been talked about since 1967, when the sentence was used by Dmitri Borgmann in his book Beyond Language.
Make-believe, believe, believe in, disbelieve, it is believed that, relieve, believable, believably. A zoo is a artificial habitat in which animals are kept. Make Believe - Official Soundtrack YouTube Animal Crossing:.
This sound is one we’ve all heard, although we’ve probably called by its much less formal onomatopoeia, which is a word that mimics the sound it describes. Real Or Make-Believe - Animal Sentences Worksheet. Mother always tells us make-believe stories about witches, fairies, and fire-eating dragons.
Science Worksheets Worksheets For Kids English Idioms English Grammar Manners For Kids Kids Rewards Classroom Bulletin Boards Preschool Literacy Free Printable Worksheets. Slideshare uses cookies to improve functionality and performance, and to provide you with relevant advertising. (3) Both these explanations are forced, and it is more probable that by a make-believe common in all religions, and not unknown in the earliest church, the sins of dead relatives, about whose salvation their survivors were anxious, were transferred into living persons, who assumed for the nonce their names and were baptized in their behalf, so in vicarious wise rendering it possible for the.
This is a fun activity you and your child can do together, and she'll practice her reasoning skills along the way!. Examples of animal cell in a sentence, how to use it. If someone is living in a make-believe world, they are pretending that things are better, different, or more exciting than they really are instead of facing up to reality.
Free real or make believe worksheets - Google Search. 50+ videos Play all Mix - Animal Crossing:. ~Gordon should revise sentence 1 to provide specific details about what "struck" him as he first entered the room.
Argumentative Essay On Animal Testing. How to use make-believe in a sentence. Represent fictitiously, as in a play, or pretend to be or act like make-believe.
Another way to put it is that an adjective is a word that describes a noun. In zoo there are so many animals. -- Almost a third of Americans, 32%, believe animals should be given the same rights as people, while 62% say they deserve some protection but can still be used for the benefit of humans.
President Donald Trump signed a bill making animal cruelty a felony, expanding on legislation from 10 that made creation or distribution of “animal crushing” videos illegal. They prefer eating fresh meat. I believe that the fear factor of potential death/harm from the dogs scares the other animals from helping Snowball.
Teaching Children the Difference between Real and Make-Believe. Students will cut out the words at the bottom of the page and glue them on the worksheet in the boxes provided in order to make a. Additionally, such a dramatic and sudden turn of events would have caught many animals off guard.
31 people chose this as the best definition of make-believe:. A teaching resource to help teach your students the difference between real and make-believe. I regarded the Suffolk Punch as a noble animal, well suited to dominate our design and represent the.
This worksheet helps students show what they know about three animals. Let's not look at grammar as a cold, harsh mistress. 15) How does Squealer manipulate the animals so the pigs can better control them?.
Zesta zesta Lions are basically considered to be the king of the forest. 14) What does Boxer’s death represent?. Feb 13, 18 - Explore Heather Wydra's board "make believe animals" on Pinterest.
Therefore, they believe it is not true that animal experiments are responsible for reducing the number of wild animals on the planet. Examples of Make-believe in a sentence. In the beginning of the story, Mia is in Genovia, the make-believe country that seems so real.:.
🔊 The creative artist drew pictures of make-believe creatures and planets that don’t. There were various animals species. Saved by Pamela Pickett.
If you continue browsing the site, you agree to the use of cookies on this website. It tells us more about the subject of the sentence. Remind students to speak clearly and loud enough for people to hear their thoughts, feelings, or ideas.
"The pink elephant flew around the classroom." Have the students illustrate and describe the scene.

The Four Paragraph Essay
2

Day One Day Two Day Three Day Four Day Five Word Work Word Work High Frequency Words High Frequency Words Phonics Practice Phonics Practice Additional Ppt Download
Make Believe Animal Sentence のギャラリー

Real Or Make Believe
/Getty_affirmative_sentence-608707561-57ac03213df78cf45929d4e6.jpg)
Positive Rhetoric Affirmative Sentences

7ubijdqfzscwtm
Q Tbn 3aand9gctfsgmdfa 6lamker 4mxmx Cdw642e Als0knaiqxsnqpisr W Usqp Cau

Aparthotel Kassiopea Giardini Naxos Messina The Fundamental Outline For You Of The Paper Kingessays
3
2

100 Noun Activities Ideas Nouns Teaching Grammar Anchor Activities

Ppt Unit 1 Week 2 Powerpoint Presentation Free Download Id

Thanksgiving Nouns And Adjectives 5 Nouns And Adjectives Thanksgiving Grammar Thanksgiving Lessons

English 3 Lm Quarter 1
2

Real And Make Believe Teaching Resources Worksheets Activities Teach Starter
Q Tbn 3aand9gcr8twwauulyxstnuauqbxxjilmq8xmjzwz6wjcuscp9rvbxljxi Usqp Cau

Legality Of Bestiality In The United States Wikipedia

Pin On Kindergarten

Why Do Humans Talk To Animals If They Can T Understand The Atlantic

Animal Cognition Wikipedia

Chapter 3 Argument Let S Get Writing

Sentence Combining Part One Pdf Free Download

Make Up A Sentence Using Modal Constructions Ppt Download

Do Animals Go To Heaven When They Die Answers In Genesis
1

Mnemonic Bane Sentence Example 1 Since Loneliness Can Be The Bane Of Old Age It S Important In Sentence Examples English Vocabulary Words English Vocabulary

Real Or Make Believe Animal Sentences Worksheet Teaching Resource Teach Starter

65 Long Sentences In Literature

31 Cinderella Quotes To Make You Believe In Your Dreams Again

How To Write A Good Topic Sentence 14 Steps With Pictures
:max_bytes(150000):strip_icc()/phrase-grammar-1691625_v4-5b76ef22c9e77c0025525c1c.png)
Nominal Definition And Examples

Real Or Make Believe Animal Sentences Worksheet Teaching Resource Teach Starter

Real Or Make Believe

Real Or Make Believe Bear Freebie Make Believe Believe How To Make

Real Or Make Believe Animal Sentences Worksheet Teaching Resource Teach Starter

How A Flawed Idea Is Teaching Millions Of Kids To Be Poor Readers At A Loss For Words Apm Reports

Reindeer Of The Year Book Companion Puppets Autism Special Ed Sentence Builder

Ielts Discussion Essays Step By Step Instructions Ielts Jacky

Writing Task 1 Ielts Writing Writing Complex Sentences Complex Sentences

Grade 2 Daily Language Review Worksheet Worksheet For 2nd Grade Lesson Planet

Free Real Or Make Believe Worksheets Google Search Worksheets For Kids Social Studies Middle School Teaching Fun

Imagination Real Or Make Believe Lesson Plan Education Com

Pin By Vision Kids On Bible Characters Bible Characters Bear Bed Kids Learning

B Directions Write A Make Believe Sentence Based From The Pictures Below Brainly Ph

12 Writing Tools To Make Covid 19 Coverage Comprehensible One Stands Above The Rest Poynter

101 Examples Of Onomatopoeia In Sentences Vappingo

Outline For Book Report Priestman St Elementary

Real Or Make Believe Sentence And Picture Sorting Worksheet Teaching Resource Teach Starter
2
Www Westada Org Cms Lib Id Centricity Domain 7 K harcourt writing Pdf

Unit 1 Week 2 Day 1

Judge Levies Maximum Sentence For Former Owner Of Starved Dog Bogey The Blade

Not Just Intelligence Why Humans Deserve To Be Treated Better Than Animals Speaking Of Research
Formative Test English 6 Quarter 4 Plants Vocabulary

Real Or Make Believe Sentence And Picture Sorting Worksheet Teaching Resource Teach Starter

65 Long Sentences In Literature

Bone I Tried To Be Fair And Honest And All I Got Was Sworn At In Weird Broken Sentences

Real Or Make Believe

Three Types Of Sentence Video Khan Academy

Writing Process Revise Main Ideas Worksheet For 2nd 3rd Grade Lesson Planet

Imagination Real Or Make Believe Lesson Plan Education Com

Animal Idioms Vocabulary Englishclub

Letter Words Sentence Flower Animals House Hot Air Balloon Clear Silicone Stamps Diy Template Make Cards Hot Stencils New Cutting Dies Aliexpress
/cdn.vox-cdn.com/uploads/chorus_image/image/63035580/20_year_cap_board_1.0.jpg)
To End Mass Incarceration Cap All Prison Sentences At Years Vox

Can We Really Know What Animals Are Thinking
2

15 Most Common English Idioms And Phrases Ef English Live

How To Write 16 Types Of Sentences Using A Sentence Tree

Real Or Make Believe Differences Fiction From Non Fiction Funny Game For Babies And Kids Youtube
Http Www Rbgusd K12 Ca Us View 67 Pdf

University Press Week Beware The Exclamation Point Authors Illinois Press Blogillinois Press Blog
2

A Color Coded Guide To The Eight Buffalo Sentence Easybib Blog

Real Or Make Believe

One Sentence Makes You Laugh And Doubt Life Try Not To Believe In Make It Yourself How To Make Laugh

Lesson Plan In English 2 Reality Fantasy

65 Long Sentences In Literature
Hcp New Draft Self Awareness Dolphin

Grammar Quiz Nouns Verbs Subjects And Predicates

Can We Really Know What Animals Are Thinking

Mix Cute Animals Food Letter Words Sentence Cactus Metal Cutting Dies Match Clear Silicone Stamps Make Cards Diy Scrapbook Craft Cutting Dies Aliexpress
The Parts Of Speech The Writing Centre University Of Ottawa

Can Stella The Instagram Dog Really Talk

Clicker Sentences For Chromebook Crick Software

Intro Sentences For Essays How To Write A Topic We Can Do Your Homework For You Just Ask Get Essay Writing Skills Introductory Paragraph Homeschool Writing

Can We Really Know What Animals Are Thinking
/i-love-you-spray-painted-on-wall-sb10065414p-001-58e003305f9b58ef7eefc484.jpg)
Definition And Examples Of A Predicate In A Sentence

Words Make Believe And True Are Semantically Related Or Have Opposite Meaning

Real Or Make Believe Animal Sentences Worksheet Teaching Resource Teach Starter

English 3 Tg Quarter 1

Complete The Sentence Real Or Make Believe Worksheet Education Com

Real Or Make Believe Animal Sentences Worksheet Teaching Resource Teach Starter
2

Clicker Sentences For Chromebook Crick Software

Not Just Intelligence Why Humans Deserve To Be Treated Better Than Animals Speaking Of Research
Static1 Squarespace Com Static 55a80a66e4b041d576da19 T e9ee4b09cfbcab0f7 The Writing Project Book Report Pdf

This May Be The Scariest Sentence You Ll Ever Read About The Internet Huffpost Australia

Real Or Make Believe Animal Sentences Worksheet Teaching Resource Teach Starter

Write A Make Believe Sentnce Based From The Pics Below Brainly Ph

Writing Workshop Literary Analysis The Five Paragraph Essay Introduction Body Supporting Paragraphs Conclusion Ppt Download
/panda-58fa5a3a5f9b581d59118619.jpg)
0 Homonyms Homophones And Homographs

Flash Action Software Combo Wonder Words Beginning Sight Words Picture Words Joan Hoffman Elizabeth Strauss Amazon Com Books

The World Of Dinosaurs